考研数学:高数微积分公式整理
2018/7/27 11:20:30
来源: 网络
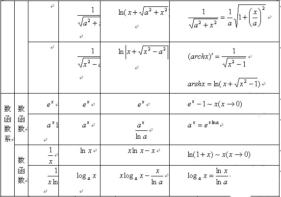
考研数学复习期间,同学们要掌握好各种定理和公式,多加理解和运用公式,掌握答题技巧。下面海天考研小编为大家整理了高数的微积分公式,希望对大家有所帮助。




2025考研人数达388w,考研热度依旧火热!如何备战2026考研?哪个考研专业适合自己?在职考生如何备考?考研知识点繁多,择校困难大,和海天考研咨询老师聊一聊。网课面授多项选,专业辅导1对1,全年集训随时学!

下一篇:考研数学常考的十种题型整理
热门推荐





