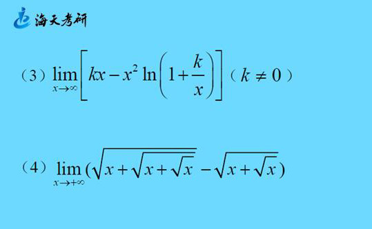
考研数学每日小课堂—第15课 ∞-∞型极限的转化②
2019/4/1 10:26:54
来源: 海天考研
考研数学每日小课堂—第15课 ∞-∞型极限的转化②


2025考研人数达388w,考研热度依旧火热!如何备战2026考研?哪个考研专业适合自己?在职考生如何备考?考研知识点繁多,择校困难大,和海天考研咨询老师聊一聊。网课面授多项选,专业辅导1对1,全年集训随时学!

热门推荐





